Table A6.3

Formulae for Torsional Deflection and Stress*

Angle of twist per unit length

T = Torque

G = Modulus of rigidity

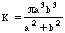
K = Apparent polar moment of inertia (given in table below)



Solid Section

K

Max. Shear Stress


Ellipse with major axis = 2a and minor axis = 2b







(at ends of minor axis)


Square of side = a









(at midpoint of each side)



Rectangle of long side = 2a and short side = 2b











(at midpoint of long side)



Equilateral triangle of
side = a










(at midpoint of each side)


* This is Table A6.3 in Chapter A6 of "Analysis and Design of Flight Vehicle Structures", by Bruhn.

A more enxtensive list of formulae for various solid and hollow shapes can be found in "Formulas for Stress and Strain", by Roark, 1954 Ed.